GRASIAN ASACUSA PBARA POSITRON-LAB HD-BEAM ADV-INST DEPRECATED-ELOG
ASACUSA-MAIN ASACUSA-SPECTROSCOPY ASACUSA-BEAM-PRODUCTION ASACUSA-ARCHIVE ASACUSA-HOW-TO
HBAR-HFS ARCHIVED
MAIN PLASMA CUSP PBAR POSITRON PROTON DETECTOR SLOWEXT ARCHIVE HOW-TO
  ARCHIVE  Not logged in ELOG logo
Message ID: 1624     Entry time: Thu May 30 10:09:25 2024
Author: Dan Murtagh 
Type: images 
Category: Dan-san 
Subject: positron 
Attachment 1: AmpScan_1.PNG  61 kB  Uploaded Thu May 30 12:10:19 2024  | Hide | Hide all
AmpScan_1.PNG
Attachment 2: freqscan_1.PNG  58 kB  Uploaded Thu May 30 12:10:19 2024  | Hide | Hide all
freqscan_1.PNG
Attachment 3: pressureScan_1.PNG  62 kB  Uploaded Thu May 30 13:20:47 2024  | Hide | Hide all
pressureScan_1.PNG
Attachment 4: PressureStability_1.PNG  158 kB  Uploaded Thu May 30 13:37:14 2024  | Hide | Hide all
PressureStability_1.PNG
Attachment 5: 174954_1.png  19 kB  Uploaded Thu May 30 17:51:00 2024  | Hide | Hide all
174954_1.png
Attachment 6: N2_15.png  16 kB  Uploaded Thu May 30 18:30:41 2024  | Hide | Hide all
N2_15.png
Attachment 7: N2_15_SF6_04.png  16 kB  Uploaded Thu May 30 18:34:28 2024  | Hide | Hide all
N2_15_SF6_04.png
Attachment 8: N2_15_SF6_04_1200V.png  15 kB  Uploaded Thu May 30 18:35:24 2024  | Hide | Hide all
N2_15_SF6_04_1200V.png
Attachment 9: 190154_1.png  20 kB  Uploaded Thu May 30 19:03:33 2024  | Hide | Hide all
190154_1.png
Attachment 10: 1300V015SCCM.png  18 kB  Uploaded Fri May 31 09:54:48 2024  | Hide | Hide all
1300V015SCCM.png
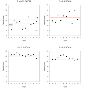
Attachment 11: 1200V02SCCM.png  12 kB  Uploaded Fri May 31 09:57:37 2024  | Hide | Hide all
1200V02SCCM.png
Attachment 12: 1200V01SCCM.png  13 kB  Uploaded Fri May 31 09:58:32 2024  | Hide | Hide all
1200V01SCCM.png
Attachment 13: 1200V005SCCM.png  13 kB  Uploaded Fri May 31 10:04:46 2024  | Hide | Hide all
1200V005SCCM.png
Attachment 14: 1200V03SCCM.png  13 kB  Uploaded Fri May 31 10:13:32 2024  | Hide | Hide all
1200V03SCCM.png
ELOG V3.1.5-fc6679b