GRASIAN ASACUSA PBARA POSITRON-LAB HD-BEAM ADV-INST DEPRECATED-ELOG
ASACUSA-MAIN ASACUSA-SPECTROSCOPY ASACUSA-BEAM-PRODUCTION ASACUSA-ARCHIVE ASACUSA-HOW-TO
HBAR-HFS ARCHIVED
MAIN PLASMA CUSP PBAR POSITRON PROTON DETECTOR SLOWEXT ARCHIVE HOW-TO
  ARCHIVE  Not logged in ELOG logo
Message ID: 866     Entry time: Wed Nov 16 15:56:52 2022
Author: Cusp Trap 
Type: images 
Category: Andreas 
Subject: Positron images Nov 16-19 
Attachment 1: initial_signal_1.png  46 kB  Uploaded Wed Nov 16 16:57:01 2022  | Hide | Hide all
initial_signal_1.png
Attachment 2: fps_dump_1.PNG  171 kB  Uploaded Wed Nov 16 18:10:23 2022  | Hide | Hide all
fps_dump_1.PNG
Attachment 3: 22V_gate_1.png  49 kB  Uploaded Wed Nov 16 18:16:42 2022  | Hide | Hide all
22V_gate_1.png
Attachment 4: 23V_gate_1.png  50 kB  Uploaded Wed Nov 16 18:18:31 2022  | Hide | Hide all
23V_gate_1.png
Attachment 5: 24V_gate_1.png  50 kB  Uploaded Wed Nov 16 18:19:51 2022  | Hide | Hide all
24V_gate_1.png
Attachment 6: 25V_gate_1.png  50 kB  Uploaded Wed Nov 16 18:20:32 2022  | Hide | Hide all
25V_gate_1.png
Attachment 7: 26V_gate_1.png  50 kB  Uploaded Wed Nov 16 18:21:43 2022  | Hide | Hide all
26V_gate_1.png
Attachment 8: 27V_gate_1.png  49 kB  Uploaded Wed Nov 16 18:25:00 2022  | Hide | Hide all
27V_gate_1.png
Attachment 9: 28V_gate_1.png  49 kB  Uploaded Wed Nov 16 18:25:04 2022  | Hide | Hide all
28V_gate_1.png
Attachment 10: 29V_gate_1.png  49 kB  Uploaded Wed Nov 16 18:25:06 2022  | Hide | Hide all
29V_gate_1.png
Attachment 11: 30V_gate_1.png  49 kB  Uploaded Wed Nov 16 18:25:08 2022  | Hide | Hide all
30V_gate_1.png
Attachment 12: 31V_gate_1.png  48 kB  Uploaded Wed Nov 16 18:25:11 2022  | Hide | Hide all
31V_gate_1.png
Attachment 13: 32V_gate_1.png  48 kB  Uploaded Wed Nov 16 18:25:13 2022  | Hide | Hide all
32V_gate_1.png
Attachment 14: 33V_gate_1.png  48 kB  Uploaded Wed Nov 16 18:25:16 2022  | Hide | Hide all
33V_gate_1.png
Attachment 15: 15us_width_1.png  51 kB  Uploaded Wed Nov 16 18:49:48 2022  | Hide | Hide all
15us_width_1.png
Attachment 16: 16V_dump_15us_width_1.png  50 kB  Uploaded Wed Nov 16 18:49:52 2022  | Hide | Hide all
16V_dump_15us_width_1.png
Attachment 17: 14V_dump_15us_width_1.png  50 kB  Uploaded Wed Nov 16 18:49:54 2022  | Hide | Hide all
14V_dump_15us_width_1.png
Attachment 18: 50V_dump_15us_width_1.png  51 kB  Uploaded Wed Nov 16 18:50:00 2022  | Hide | Hide all
50V_dump_15us_width_1.png
Attachment 19: EnergySpread-All_1.png  53 kB  Uploaded Wed Nov 16 19:17:13 2022  | Hide | Hide all
EnergySpread-All_1.png
Attachment 20: GaussianProfileEnergySpread_1.png  43 kB  Uploaded Wed Nov 16 19:17:16 2022  | Hide | Hide all
GaussianProfileEnergySpread_1.png
Attachment 21: initial_signal_1.png  48 kB  Uploaded Thu Nov 17 09:44:38 2022  | Hide | Hide all
initial_signal_1.png
Attachment 22: fill_and_cooling_stage_the_same_1.png  47 kB  Uploaded Thu Nov 17 09:47:41 2022  | Hide | Hide all
fill_and_cooling_stage_the_same_1.png
Attachment 23: 2_peaks_T3_scan_30A_1.png  51 kB  Uploaded Thu Nov 17 15:15:28 2022  | Hide | Hide all
2_peaks_T3_scan_30A_1.png
Attachment 24: T3_35A_1.png  50 kB  Uploaded Thu Nov 17 15:16:52 2022  | Hide | Hide all
T3_35A_1.png
Attachment 25: T3_45A_NaI_at_GV_1.png  55 kB  Uploaded Thu Nov 17 15:27:41 2022  | Hide | Hide all
T3_45A_NaI_at_GV_1.png
Attachment 26: T3_10A_1.png  49 kB  Uploaded Thu Nov 17 15:28:49 2022  | Hide | Hide all
T3_10A_1.png
Attachment 27: T3_15A_1.png  50 kB  Uploaded Thu Nov 17 15:29:37 2022  | Hide | Hide all
T3_15A_1.png
Attachment 28: T3_20A_1.png  51 kB  Uploaded Thu Nov 17 15:30:28 2022  | Hide | Hide all
T3_20A_1.png
Attachment 29: T3_25A_1.png  50 kB  Uploaded Thu Nov 17 15:31:24 2022  | Hide | Hide all
T3_25A_1.png
Attachment 30: T3_20A_GV_open_1.png  49 kB  Uploaded Thu Nov 17 15:32:27 2022  | Hide | Hide all
T3_20A_GV_open_1.png
Attachment 31: T2_and_T3_60A_1.png  48 kB  Uploaded Thu Nov 17 15:37:39 2022  | Hide | Hide all
T2_and_T3_60A_1.png
Attachment 32: T2_at_55A_1.png  47 kB  Uploaded Thu Nov 17 16:08:35 2022  | Hide | Hide all
T2_at_55A_1.png
Attachment 33: T2_DS_annihilations_brescia_side_1.png  50 kB  Uploaded Thu Nov 17 16:22:22 2022  | Hide | Hide all
T2_DS_annihilations_brescia_side_1.png
Attachment 34: T2_DS_annihilations_brescia_side_1.png  50 kB  Uploaded Thu Nov 17 16:24:50 2022  | Hide | Hide all
T2_DS_annihilations_brescia_side_1.png
Attachment 35: T2_DS_annihilations_brescia_side_2_1.png  50 kB  Uploaded Thu Nov 17 16:24:53 2022  | Hide | Hide all
T2_DS_annihilations_brescia_side_2_1.png
Attachment 36: T2_DS_annihilations_brescia_side_3_1.png  49 kB  Uploaded Thu Nov 17 16:24:56 2022  | Hide | Hide all
T2_DS_annihilations_brescia_side_3_1.png
Attachment 37: T2_DS_annihilations_brescia_side_4_1.png  50 kB  Uploaded Thu Nov 17 16:24:58 2022  | Hide | Hide all
T2_DS_annihilations_brescia_side_4_1.png
Attachment 38: T2_DS_annihilations_brescia_side_5_1.png  49 kB  Uploaded Thu Nov 17 16:25:00 2022  | Hide | Hide all
T2_DS_annihilations_brescia_side_5_1.png
Attachment 39: T2_DS_annihilations_brescia_side_6_1.png  50 kB  Uploaded Thu Nov 17 16:25:02 2022  | Hide | Hide all
T2_DS_annihilations_brescia_side_6_1.png
Attachment 40: T2_DS_annihilations_brescia_side_7_1.png  49 kB  Uploaded Thu Nov 17 16:25:04 2022  | Hide | Hide all
T2_DS_annihilations_brescia_side_7_1.png
Attachment 41: NaI_at_cusp_GV_1.jpg  406 kB  Uploaded Thu Nov 17 17:35:27 2022  | Hide | Hide all
NaI_at_cusp_GV_1.jpg
Attachment 42: Example_of_NaI_1.jpg  397 kB  Uploaded Thu Nov 17 17:35:30 2022  | Hide | Hide all
Example_of_NaI_1.jpg
Attachment 43: Position_NaI_brescia_side_1.jpg  547 kB  Uploaded Thu Nov 17 17:36:31 2022  | Hide | Hide all
Position_NaI_brescia_side_1.jpg
Attachment 44: stacking_with_NaI_at_cusp_GV_1.JPG  25 kB  Uploaded Thu Nov 17 18:35:07 2022  | Hide | Hide all
stacking_with_NaI_at_cusp_GV_1.JPG
Attachment 45: cusp_GV_open_1.png  42 kB  Uploaded Thu Nov 17 19:56:39 2022  | Hide | Hide all
cusp_GV_open_1.png
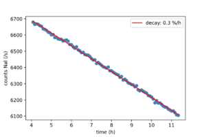
Attachment 46: moderatordecay_1.png  73 kB  Uploaded Fri Nov 18 08:02:38 2022  | Hide | Hide all
moderatordecay_1.png
Attachment 47: moderator_decay_1.JPG  79 kB  Uploaded Fri Nov 18 08:05:26 2022  | Hide | Hide all
moderator_decay_1.JPG
Attachment 48: front_panel_1.JPG  179 kB  Uploaded Fri Nov 18 08:07:41 2022  | Hide | Hide all
front_panel_1.JPG
Attachment 49: paddle_fps_exit_1.png  41 kB  Uploaded Fri Nov 18 08:54:01 2022  | Hide | Hide all
paddle_fps_exit_1.png
Attachment 50: positrons_after_stacker_paddle.png  48 kB  Uploaded Fri Nov 18 09:01:08 2022  | Hide | Hide all
positrons_after_stacker_paddle.png
ELOG V3.1.5-fc6679b